
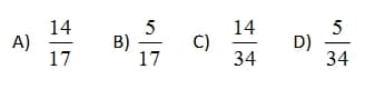
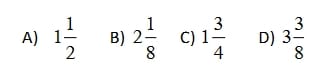
İşleminin sonucu kaçtır?


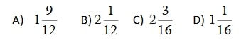
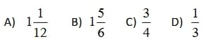
İşleminin sonucu kaçtır?


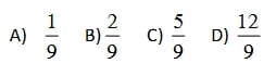
İşleminin sonucu kaçtır?


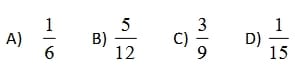
İşleminin sonucu kaçtır?


İşleminin sonucu kaçtır?


İşleminin sonucu kaçtır?


İşleminin sonucu kaçtır?


İşleminin sonucu kaçtır?


İşleminin sonucu kaçtır?


İşleminin sonucu kaçtır?


İşleminin sonucu kaçtır?


İşleminin sonucu kaçtır?


İşleminin sonucu kaçtır?


Yukarıda modellenen işlemin sonucu kaçtır?
