
İşleminin sonucu kaçtır?


İşleminin sonucu kaçtır?


İşleminin sonucu kaçtır?


İşleminin sonucu kaçtır?


İşleminin sonucu kaçtır?


İşleminin sonucu kaçtır?


İşleminin sonucu kaçtır?


İşleminin sonucu kaçtır?


İşleminin sonucu kaçtır?


Yukarıda modellenen işlemin sonucu kaçtır?
![]()

Yukarıda modellenen işlem aşağıdakilerden hangisidir?


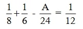
Yukarıda verilenlere göre A kaçtır?
4 | |
5 | |
6 | |
7 |
Üç arkadaş bir pizzayı 8 eş parçaya bölerek yemişlerdir. Ali pizzanın
ini , veli
ini yediğine göre, Mehmet pizzanın kaçta kaçını yemiştir?

Bir araba gideceği yolun önce
sini, sonra
ünü gitmiştir. Buna göre aracın ne kadar yolu kalmıştır?


Bir depoda konteynerler şekildeki gibi üst üste konulduğunda, depo tavana kadar tam dolmaktadır. Deponun yüksekliği 5m olduğuna göre, ortadaki konteynerın yüksekliği kaç m dir ?
