
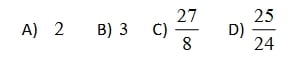
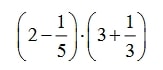
İşleminin sonucu kaçtır?


İşleminin sonucu kaçtır?


İşleminin sonucu kaçtır?


İşleminin sonucu kaçtır?


İşleminin sonucu kaçtır?


İşleminin sonucu kaçtır?


İşleminin sonucu kaçtır?


İşleminin sonucu kaçtır?


İşleminin sonucu kaçtır?

Aşağıdakilerden hangisi 9 ile çarpılırsa sonuç bir tam sayı olur?


İşleminin sonucu kaçtır?


İşleminin sonucu kaçtır?
3 | |
4 | |
5 | |
6 |

Yukarıda modellenen çarpma işlemi aşağıdakilerden hangisidir?


Yukarıda verilen dikdörtgenin alanı kaçtır?

Bir çiçek fidesi dikildikten sonra her ay boyunun
sı kadar uzuyor. Dikildiğine boyu 18 cm olduğuna göre, 2 ay sonra kaç cm olur?

Selim 144 sayfalık kitabın
ünü okumuştur.
Buna göre kaç sayfa kalmıştır?
36 | |
72 | |
108 | |
120 |