
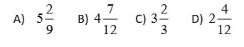
İşleminin sonucu kaçtır?


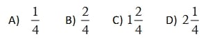
İşleminin sonucu kaçtır?


İşleminin sonucu kaçtır?


İşleminin sonucu kaçtır?


İşleminin sonucu kaçtır?


İşleminin sonucu kaçtır?


İşleminin sonucu kaçtır?


İşleminin sonucu kaçtır?


İşleminin sonucu kaçtır?


Yukarıda modellenen işlemin sonucu kaçtır?


Yukarıda modellenen işlem aşağıdakilerden hangisidir?


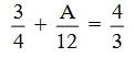
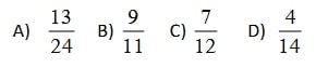
Yukarıda verilenlere göre A kaçtır?
5 | |
6 | |
7 | |
8 |
Melih yeni aldığı kitabın 1.gün
sını, 2.gün
ini okumuştur. Buna göre iki günde kitabın kaçta kaçını okumuştur?

Bir araba gideceği yolun önce
sini, sonra
ünü, sonrada
ünü getirmiştir. Buna araç yolun kaçta kaçını gitmiştir?


Bir depoda konteynerler şekildeki gibi üst üste konulmuştur. Buna göre konteyenerlerin yüksekliği kaç m dir ?
