6. Sınıf Matematik Kesirlerle İşlemler (Test 1)

Süre:

Şekildeki gibi modellenen kesir aşağıdakilerden hangisidir?


A
B
C
D
blank

Sayı doğrusunda gösterilen A kesri aşağıdakilerden hangisidir?

blank
A
B
C
D

blank kesrinin sayı doğrusunda gösterilmiş şekli aşağıdakilerden hangisinde doğru verilmiştir?

blank
A
B
C
D
blank

Şekilde verilen modellemelerin oluşturduğu kesirlerin küçükten büyüğe doğru sıralanışı aşağıdakilerden hangisidir?


A
A
B
C
C
A
D
B
blank

Şeklin ifade ettiği kesir aşağıdaki şekillerden hangisinin ifade ettiği kesre eşittir?

blank
A
B
C
D

blankkesirlerinin küçükten büyüğe doğru sıralanışı aşağıdakilerden hangisidir?

blank
A
B
C
D

blankkesirlerinin küçükten büyüğe doğru sıralanışı aşağıdakilerden hangisidir?

blank
A
B
C
D
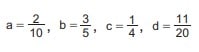
blank kesirlerinin küçükten büyüğe doğru sıralanışı aşağıdakilerden hangisidir?  
A
a < c < d < b
B
c < a < b < d
C
b < d < c < a
D
d < b < a < c

Aşağıdaki kesirlerden hangisi blankkesrinden daha büyüktür?

blank
A
B
C
D

Aşağıdaki kesirlerden hangisi blankkesrine denktir?

blank
A
B
C
D

Aşağıdaki kesirlerden hangisi bütüne en yakındır?

blank
A
B
C
D
blank

Sayı doğrusunda verilen A, B, C ve D noktalarından D noktasına karşılık gelen kesir aşağıdakilerden hangisi olabilir?

blank
A
B
C
D

Aşağıdaki kesirlerden hangisi yarıma en yakındır?

blank
A
B
C
D
blank

Yukarıda modellenen çıkarma işlemi aşağıdakilerden hangisidir?

blank
A
B
C
D