
İşleminin sonucu kaçtır?
15 | |
18 | |
24 | |
36 |

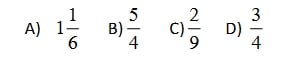
İşleminin sonucu kaçtır?


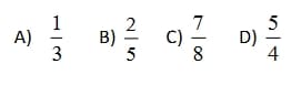
İşleminin sonucu kaçtır?


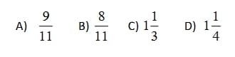
İşleminin sonucu kaçtır?


İşleminin sonucu kaçtır?


İşleminin sonucu kaçtır?


İşleminin sonucu kaçtır?


İşleminin sonucu kaçtır?


İşleminin sonucu kaçtır?


Yukarıda modellenen bölme işlemi aşağıdakilerden hangisidir?

6 nın içinde kaç tane
vardır?
4 | |
6 | |
12 | |
24 |

Yukarıda modellenen işlem aşağıdakilerden hangisidir?

Ayhan ın annesi eve gelen arkadaşlarına 4 elmayı yarıya bölerek her çocuğa bir parça vermiştir. Buna göre evde kaç çocuk vardır?
4 | |
6 | |
8 | |
10 |
Ayhan ın annesi eve gelen arkadaşlarına 4 elmayı yarıya bölerek her çocuğa bir parça vermiştir. Buna göre evde kaç çocuk vardır?


Yukarıda kenar uzunluğu verilen karenin çevresi tahmini olarak kaç cm dir?
8 | |
10 | |
12 | |
14 |

Yukarıda bir manavda satılan elma ve mandalinanın kg fiyatları verilmiştir. 1 er kg mandalina ve elma alan bir kişi tahmini olarak kaç TL öder?
5 | |
6 | |
7 | |
8 |