6. Sınıf Kesirleri Sayı Doğrusunda Gösterme ve Sıralama (Test 7)

Süre:

kesri sayı doğrusu üzerinde gösterilirse hangi noktaya karşılık gelir?


A
A
B
B
C
C
D
D

blank

Kesrinin sayı doğrusunda gösterimi aşağıdakilerden hangisidir?

blank


A
B
C
D

blank

Kesrinin sayı doğrusunda gösterimi aşağıdakilerden hangisidir?

blank


A
B
C
D

blank

Sayı doğrusunda gösterilen blankkesri aşağıdakilerden hangisidir?

blank


A
B
C
D

blank

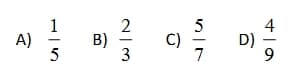
Yukarıda verilen kesirlerden hangisi bütüne daha yakındır?

blank


A
B
C
D

blank

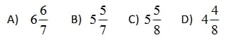
Yukarıda verilen kesirlerden hangisi yarıma daha yakındır?

blank


A
B
C
D

blank

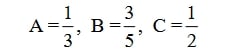
Yukarıda verilen kesirlerin doğru sıralaması aşağıdakilerden hangisidir?

blank


A
B
C
D

blank

Yukarıda verilen kesirlerin doğru sıralaması aşağıdakilerden hangisidir?

blank


A
B
C
D

Aşağıdaki kesirlerden hangisi sayı doğrusunda 4 ile 5 arasında olamaz?

blank


A
B
C
D

Aşağıda sayı doğrularında 0 ile 1 arası eş aralıklara bölünerek gösterilen kesirlerden hangisi diğerlerinden büyüktür?

blank


A
B
C
D

blank

Yukarıdaki sayı doğrusu eş aralıklara bölünmüştür. Buna göre A,B,C ile gösterilen kesirlerin sıralaması aşağıdakilerden hangisidir?

blank


A
B
C
D

blank

Yukarıda verilenlere göre A yerine kaç farklı doğal sayı gelebilir?


A
2
B
3
C
4
D
5

blank

Yukarıda verilen kesirlerin doğru sıralaması aşağıdakilerden hangisidir?


A
A < B < C
B
B < A < C
C
C < B < A
D
A < C < B

Aşağıdaki karşılaştırmalardan hangisi doğrudur?

blank


A
B
C
D

blank

olduğuna göre A’ nın en küçük ve en büyük doğal sayı değeri aşağıdakilerden hangisidir?


A
8 ve 19
B
29 ve 35
C
29 ve 39
D
30 ve 41

blank

olduğuna göre A’ nın alabileceği kaç farklı doğal sayı değeri vardır?


A
15
B
14
C
13
D
12