A = 6 . 8 . 10 + 8 . 10 . 12 + ... + 22 . 24 . 26 olduğuna göre,
2 . 3 . 4 + 3 . 4 . 5 + ... + 11 . 12 . 13
ifadesinin A'türünden eşiti aşağıdakilerden hangisidir?

aba, bba ve ca8 üç basamaklı doğal sayılardır.

olduğuna göre, a + b + c toplamı kaçtır?
10 | |
11 | |
12 | |
13 | |
14 |
Ardışık 7 tam sayının toplamı, bu sayılardan en küçüğünün 5 katından 45 fazladır.
Buna göre, bu sayılardan en büyüğü kaçtır?
17 | |
18 | |
19 | |
20 | |
21 |
a, b, c birer tam sayı olmak üzere,
2a + b ve 3b + 5c birer tek sayı olduğuna göre,
I. a + b + c çifttir.
II. a . b . c çifttir.
III. a . b + c tektir.
ifadelerinden hangileri kesinlikle doğrudur?
Yalnız I | |
Yalnız II | |
I ve II | |
II ve III | |
I, II ve III |
3x5y dört basamaklı bir doğal sayıdır.
Bir kişi tanesi 36 TL olan kazaklardan a tane almış ve toplam 3x5y TL ödemiştir.
Buna göre a'nın alabileceği en büyük değer kaçtır?
96 | |
102 | |
103 | |
105 | |
107 |


x sayısının sayı doğrusunda -3 sayısına olan uzaklığı A dır.
-3 sayısının sayı doğrusunda x sayısına olan uzaklığı B dir.
A + B = 8
olduğuna göre, x’in alabileceği farklı değerlerin toplamı kaçtır ?
-6 | |
-3 | |
0 | |
3 | |
6 |
a ve b sıfırdan ve birbirinden farklı gerçel sayılar olmak üzere,
a³ < a² - b² < b
olduğuna göre,
I. a < 1
II. O < b < 1
![]()
ifadelerinden hangileri her zaman doğrudur?
I ve II | |
I ve III | |
II ve III | |
Yalnız II | |
Yalnız I |
m ve n birer gerçel sayı olmak üzere,

olduğuna göre, m kaçtır?
3 | |
4 | |
5 | |
6 | |
7 |
Gerçel sayılarda tanımlı f ve g fonksiyonları
f(x + 2) = f(x) + 8
g(x — 1) = 2x + 3
eşitliklerini sağlıyor.
f(8) + g(5) = 25
olduğuna göre, f(10). g(3) değeri kaçtır?
160 | |
175 | |
184 | |
198 | |
204 |

6 | |
5 | |
4 | |
3 | |
2 |
x ve y birer asal sayı, z bir pozitif çift doğal sayıdır.
x² - y² = z
olduğuna göre, x + y + z toplamının en küçük değeri kaçtır?
20 | |
24 | |
26 | |
28 | |
32 |
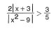
![]()
eşitsizliğini sağlayan kaç farklı x tam sayısı vardır?
4 | |
5 | |
6 | |
7 | |
8 |
x bir pozitif gerçel sayı olmak üzere,

Bir kafede içinde sadece kaşar peyniri ve sucuk bulunan pizzalar satılmaktadır. Bu pizzalar ile ilgili aşağıdakiler bilinmektedir.
Pizzalar küçük ve büyük boy olmak üzere iki farklı büyüklükte hazırlanmaktadır.
Her bir pizza hazırlanırken kullanılan kaşar peyniri miktarının sucuk miktarına oranı sabittir.
Kullanılan kaşar peyniri ve sucuk miktarlarının toplamı küçük boy pizzalarda 180 gram ve büyük boy pizzalarda 225 gramdır.
Bu kafe de 1 küçük ve 1 büyük boy pizza hazırlanmış ve bu pizzalar için toplam 225 gram sucuk kullanılmıştır.
Buna göre; büyük boy pizzada kullanılan kaşar peyniri miktarı, küçük boy pizzada kullanılan kaşar peyniri miktarından kaç gram daha fazladır?
15 | |
20 | |
25 | |
30 | |
35 |
A ve B aynı evrensel kümenin iki alt kümesidir.
[(A' n B) u (B' n A)] u (A n B)
ifadesi aşağıdakilerden hangisine eşittir?
A | |
B | |
A U B | |
E | |
ø |
Aralıksız çalışarak bir yüzeye sıva yapıp seramik döşemek isteyen bir usta yaptığı iş planında belirlediği çalışma süresinin %25'ini sıva işine, kalan sürenin tamamını ise seramik döşeme işine ayırmıştır. Ancak, işin tamamını planladığı süreden %20 daha kısa sürede bitiren bu usta çalıştığı sürenin %40'ında sıva yapmış ve kalan süresini seramik döşeme işine ayırmıştır
Buna göre, bu usta seramik döşeme işine planladığından yüzde kaç daha az süre ayırmıştır?
36 | |
35 | |
32 | |
30 | |
28 |
A kentinden B kentine doğru saatte 100 ve 80 kilometre sabit hızlarla aynı anda harekete başlayan iki araçtan hızlı olanı bir süre sonra bozulmuş ve tamir için 2 saat durmak zorunda kaldıktan sonra başlangıçtaki sabit hızıyla kaldığı yerden yoluna devam etmiştir.
Hızlı olan araç B kentine diğer araçtan yarım saat sonra ulaştığına göre, yavaş olan araç A kentinden B kentine kaç saatte gitmiştir?
![]()
Bir annenin yaşı, üçer yıl arayla doğmuş 4 çocuğunun yaşları toplamına eşittir.
4 yıl sonra annenin yaşı, yaşça en büyük olan çocuğunun yaşının 2 katından 10 fazla olacağına göre, en küçük çocuğun bugünkü yaşı kaçtır?
7 | |
8 | |
9 | |
10 | |
11 |
51. ve 52. Soruları Aşağıdaki Bilgiye Göre Birbirinden Bağımsız Olarak Cevaplayınız.
Bir mağazada 2019 ve 2020 yıllarında satılan A ve B ürünlerinin sayıca dağılımı aşağıdaki daire grafiklerinde verilmiştir.

Bu mağazada 2020 yılında satılan A ve B ürünlerinin sayılarının toplamı, 2019 yılına göre %25 artmıştır.
2019 ve 2020 yıllarında satılan A ürünlerinin sayıları toplamı 1750 olduğuna göre, 2020 yılında satılan B ürünü sayısı kaçtır?
1000 | |
1050 | |
1250 | |
1400 | |
1500 |
51. ve 52. Soruları Aşağıdaki Bilgiye Göre Birbirinden Bağımsız Olarak Cevaplayınız.
Bir mağazada 2019 ve 2020 yıllarında satılan A ve B ürünlerinin sayıca dağılımı aşağıdaki daire grafiklerinde verilmiştir.

Bu mağazada 2020 yılında satılan A ve B ürünlerinin sayılarının toplamı, 2019 yılına göre %25 artmıştır.
2020 yılında satılan B ürünlerinin sayısı, 2019 yılında satılan A ürünlerinin sayısının 2 katından 700 azdır.
Buna göre, 2019 ve 2020 yıllarında satılan A ve B ürünlerinin sayıları toplamı kaçtır?
5230 | |
5670 | |
6080 | |
6225 | |
7185 |
53. ve 54. Soruları Aşağıdaki Bilgiye Göre Birbirinden Bağımsız Olarak Cevaplayınız.
Güven Öğretmen, matematik dersinde tahtaya 1'den 12'ye kadar olan 12 tam sayıyı yazmış ve öğrencilerinden her adımda tahtada yazılı olan sayılardan birini seçerek seçilen sayı çift ise bu sayıyı tam bölen tüm sayıları, tek ise bu sayıdan büyük olan tüm çift sayıları tahtadan silmelerini istemiştir.
Güven Öğretmen birinci adımda 8, ikinci adımda 9 ve üçüncü adımda ise 6 sayısını seçmiştir.
Buna göre, bu üç adımdan sonra tahtada kalan sayıların toplamı kaçtır?
20 | |
24 | |
27 | |
32 | |
35 |
53. ve 54. Soruları Aşağıdaki Bilgiye Göre Birbirinden Bağımsız Olarak Cevaplayınız.
Güven Öğretmen, matematik dersinde tahtaya 1'den 12'ye kadar olan 12 tam sayıyı yazmış ve öğrencilerinden her adımda tahtada yazılı olan sayılardan birini seçerek seçilen sayı çift ise bu sayıyı tam bölen tüm sayıları, tek ise bu sayıdan büyük olan tüm çift sayıları tahtadan silmelerini istemiştir.
Üç adımın uygulandığı durumda Güven Öğretmen'in birinci adımdan sonra seçtiği her bir sayı, bir önceki
katıdır.
Buna göre, üçüncü adımdan sonra tahtada kalan sayıların toplamı en az kaçtır?
32 | |
35 | |
40 | |
42 | |
47 |
Erol, Birol ve Sinem bir futbol topu almak istemektedir. Alacakları futbol topunun fiyatı ile ilgili aşağıdakiler bilinmektedir.
• Erol’un parasından 40 TL fazladır.
• Birol'un parasının
ü kadardır.
• Sinem'in parasının
ünden 70 TL daha fazladır.
Üçü paralarını birleştirerek bu futbol topunu aldıklarında 206 TL para arttığına göre, Erol'un parası kac TL'dir?
150 | |
120 | |
96 | |
80 | |
72 |
Biri mavi diğeri kırmızı olan iki zar birlikle atılıyor.
Mavi zarın üst yüzüne gelen sayının kırmızı zarın üst yüzüne gelen sayıdan büyük olma olasılığı kaçtır?
![]()

Yukarıdaki verilere göre, x kaç derecedir?
60 | |
65 | |
70 | |
75 | |
80 |

Yukarıdaki verilere göre, |AB| kaç cm dir?
4 | |
5 | |
6 | |
7 | |
8 |

O merkezli çember
[BC] çap
|BC|= 10 cm
|AO| = 3 cm
Yukarıdaki verilere göre, çemberin A noktasından geçen en kısa kirişinin uzunluğu kaç cm dir?
![]()
