
işleminin sonucu kaçtır?

![]()
işleminin sonucu kaçtır?
1,25 | |
2.25 | |
0.225 | |
0.09 | |
0,40 |
![]()
işleminin sonucu kaçtır?
80 | |
10 | |
40 | |
8 | |
20 |
x, y, z gerçel sayıları için
xʸ= 9
xʸ⁺¹ = 27
xʸ⁺² = 729
eşitlikleri veriliyor
Buna göre, aşağıdaki sıralamalardan hangisi doğrudur?
x | |
y | |
y | |
z | |
z |

işleminin sonucu kaçtır?
5 | |
3 | |
4 | |
2 | |
6 |
x³ y²< 0
x + z > 0
x . y⁵ . z³ > 0
eşitsizliklerini sağlayan x, y, z gerçel sayılarının işaretleri sırasıyla aşağıdakilerden hangisidir?
-,+,- | |
-,-,+ | |
-,-,- | |
+,+,+ | |
+, -, - |

Verilen çarpma işlemine göre işlemin sonucu aşağıdakilerden hangisidir?
2568 | |
3476 | |
3746 | |
3744 | |
3216 |
Hem 6 hemde 9 ile tam bölünebilen iki basamaklı doğal sayılardan kaç tanesi 36 ile tam bölünmez?
4 | |
2 | |
3 | |
1 | |
5 |
Sayı doğrusu üzerinde
ve 3’e eşit uzaklıkta olan sayı aşağıdakilerden hangisidir?
![]()
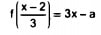
a bir gerçel sayı olmak üzere, gerçel sayılar kümesi üzerinde bir f fonksiyonu
![]()
biçiminde tanımlanıyor.
f(4) = 2 olduğuna göre, a kaçtır?
32 | |
44 | |
36 | |
42 | |
40 |
X ve Y kümelerinin eleman sayılarıyla ilgi
s(X) = 4 s(Y \ X)
s(X U Y) = 4 s(Y \ X) + 5
eşitlikleri veriliyor.
Buna göre X ∪ Y kümesinin eleman sayısı kaçtır?
20 | |
15 | |
25 | |
5 | |
10 |
x < 0 < y olmak üzere,
|3x + 4y| = |2x + 5y|
eşitliği veriliyor.
Buna göre,
oranı kaçtır?
![]()
3. x ve y birer reel sayı
x - y = 10
√x - √y = 2
olduğuna göre x + y ifadesinin eşiti aşağıdakilerden hangisidir?

Mehmet dosyasındaki 4'ü mavi, 6'sı kırmızı olan toplam 10 kâğıttan rastgele ikisini seçmiş ve seçtiği kâğıtları rulo yapmıştır.
Buna göre, Mehmet'in rulo yaptığı kâğıtlardan ikisininde mavi olma olasılığı kaçtır?

Bir iş yerinde çalışanların bazıları kahvelerini şekersiz, bazıları orta şekerli, bazıları da şekerli içmektedir. Kahvelerini şekersiz içenlerin sayısı orta şekerli içenlerin sayısından 10 fazla, şekerli içenlerin sayısından 24 eksiktir.
Buna göre, bu iş yerinde toplam çalışan sayısı 200 olduğuna göre çalışanlardan kahvelerini şekerli içenlerin sayısı kaçtır?
52 | |
90 | |
72 | |
86 | |
66 |
Bir sınıftaki öğrenciler sıralara ikişerli oturduklarında 4 kişi ayakta kalıyor. Sınıfa 8 öğrenci daha gelip 3 sıra dışarı atılıyor. Öğrenciler bu sıralara üçerli oturduklarında ise 1 sıra boş kalıyor.
Buna göre, son durumda sınıftaki öğrenci sayısı aşağıdakilerden hangisidir?
52 | |
76 | |
48 | |
60 | |
63 |
Halil 4 yıl önce doğmuş olsaydı babasının yaşı Halil'n yaşının 5 katı olacaktır
Halil doğmasına 3 yıl varken babası 33 yaşında olduğuna göre Halil'in bugünkü yaşı kaçtır?
2 | |
6 | |
4 | |
8 | |
3 |
Bir araç saat 09.00'da yola çıkar ve hiç durmadan yola devam ederse B kentine saat 19.00'da varıyor.
Araç aynı saat 09.00'da yola çıkıp saat 14.00'te 2 saat mola verirse B kentine saat 19.00'da varması için hızını kaç kat artırmalıdır?
![]()
Bir torbada kırmızı, mavi ve sarı renkli bilyeler bulunmaktadır. Kırmızı bilyelerin %40'ı mavi bilyelerin %50'sine eşittir. Mavi bilyelerin %30'u sarı bilyelerin %40’ına eşittir.
Toplam 960 bilye olduğuna göre, torbada buluna topların kaçı san renklidir?
240 | |
120 | |
360 | |
480 | |
300 |
Bir marangoz maliyeti 20 lira olan 5 sandalyeyi tanesi 32 liradan müşteriye satıyor. Bir süre sonra sandalyelerin ikisi kırılıyor ve müşteri bu sandalyeleri marangoza geri getiriyor. Marangoz sandalyeleri 10'ar liradan geri alıyor ve sandalyelere 5'er lira masraf yapıp başka bir müşteriye bu iki sandalyeyi 30'ar liradan satıyor.
Bu satış işleminin sonunda marangozun kâr zarar durumu nedir?
100 lira kâr | |
80 lira kâr | |
90 lira kâr | |
60 lira zarar | |
80 lira zarar |
51. ve 52. soruları aşağıdaki bilgilere göre birbirinden bağımsız olarak cevaplayınız.

Yukarıdaki grafik A. B. C. D. E şubelen bulunan bir okulun şubelerde ki öğrenci yüzdelerini göstermektedir?
A şubesinde bulunan öğrenci sayısı D şubesinde bulunan öğrenci sayısına göre yüzde kaç eksiktir?
20 | |
40 | |
10 | |
60 | |
15 |
51. ve 52. soruları aşağıdaki bilgilere göre birbirinden bağımsız olarak cevaplayınız.

Yukarıdaki grafik A. B. C. D. E şubelen bulunan bir okulun şubelerdeki öğrenci yüzdelerini göstermektedir.
Bu okulun E sınıfına 80 öğrenci daha gelince C sınıfındaki öğrencileri tüm okulun %5'i oluyor.
Buna göre, ilk durumda okulda toplam kaç öğrenci vardır?
80 | |
120 | |
100 | |
160 | |
180 |
53-54. soruları aşağıdaki bilgilere göre birbirinden bağımsız olarak cevaplayınız.

Yukarıdaki haritada 8 ev ve evler arası bağlantı yolları gösterilmiştir.
En az kaç bağlantı yolu kesilirse 1 ile 6 arası ulaşım kesilir?
3 | |
4 | |
2 | |
1 | |
5 |
53-54. soruları aşağıdaki bilgilere göre birbirinden bağımsız olarak cevaplayınız.

Her bir bağlantı yolundan en az bir kez geçmek şartıyla 5 nolu eve uğramadan 1'den 8 nolu eve kaç farklı şekilde gidilebilir?
4 | |
1 | |
2 | |
3 | |
5 |
Reel sayılar kümesi üzennde bir * işlemi her a ve b gerçel sayısı için

1⁴ + 2⁴ + 3⁴ + 4⁴ + 5⁴
toplamının 6 ile bölümünden kalan aşağıdakilerden hangisidir?
1 | |
4 | |
5 | |
2 | |
3 |

Yukarıdaki şekilde. D ve E noktaları sırasıyla AC ve BC kenarları üzenndedir
Buna göre, x kaç derecedir?
83 | |
87 | |
84 | |
88 | |
86 |

ABC bir üçgen
|AD| = |DE| = |EB|
|BF| = 3 |FC|
Şekilde D, E ve F noktaları ABC üçgeninin kenarları üzerindedir
DEF üçgeninin alanı 18 birim kare olduğuna göre, ABC üçgeninin alanı kaç birim karedir?
72 | |
48 | |
60 | |
84 | |
90 |

Yukarıda verilenlere göre x kaç derecedir?
32 | |
36 | |
34 | |
40 | |
38 |
Yüksekliği çap uzunluğuna eşit olan bir silindirin hacmi 54 π cm³ tür.
Bu silindirin taban alanı kaç cm²dir?
12π | |
16π | |
9π | |
4π | |
36π |