
X. y, z pozitif tam sayılar olmak üzere,
x³ + 4y³ + 5z²
ifadesi çift sayıdır.
Buna göre,
I. x • y
II. x + z
III. x + 2y + z
ifadelerinden hangileri kesinlikle çift sayıdır?
Yalnız I | |
Yalnız II | |
I ve II | |
II ve III | |
I, II ve III |
Rakamları toplamı 42 olan dokuz basamaklı en küçük çift doğal sayının on binler basamağındaki rakam kaçtır?
8 | |
7 | |
6 | |
5 | |
4 |
x, y ve z birer rakam olmak üzere;

olduğuna göre, x + y + z toplamı kaçtır?
9 | |
10 | |
12 | |
14 | |
15 |
![]()
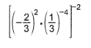
işleminin sonucu kaçtır?
40 | |
36 | |
32 | |
28 | |
24 |

x, y, z gerçel sayılan için
x² + y < 0 < z + x v e y z > 0 olduğuna göre, x, y ve z’nin işaretleri sırayla aşağıdakilerden hangisidir?
(+, +, -) | |
(+, -, +) | |
(+, -, -) | |
(-, +, -) | |
(+, +, +) |

72 | |
63 | |
60 | |
54 | |
48 |
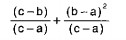
a, b ve c gerçel sayıları için
3a + 4b = 2
a + 2c = 8
c - b = 9
olduğuna göre, a + b + c toplamı kaçtır?
-3 | |
-1 | |
1 | |
3 | |
5 |

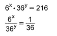
işleminin sonucu kaçtır?
8 | |
14 | |
16 | |
18 | |
21 |
|10 - x²| - 5x = 4
eşitliğini sağlayan x gerçel sayılannın toplamı kaçtır?
3 | |
5 | |
6 | |
7 | |
8 |
Bir fabrika yılın ilk 6 ayı her ay bir önceki aya göre 2 katı ürün üretmektedir.
Bu fabrikada yılın ilk 6 ayında 5040 adet ürün üretildiğine göre, yılın ilk ayında fabrikada üretilen ürün sayısı kaçtır?
50 | |
60 | |
80 | |
90 | |
100 |
Yalnızca A ve B ürünlerinin üretildiği bir iş yerinde çalışan Serkan ve Murat'tan Serkan toplam 90, Murat ise toplam 120 ürün üretmiştir. Serkan ve Murat’ın ürettikleri A ürünü sayısı B ürünü sayısının 2 katı olup Serkan’ın ürettiği A ürününün sayısı Murat’ın ürettiği A ürünün sayısından 20 fazladır.
Buna göre, Serkan’m ürettiği B ürünü sayısı kaçtır?
10 | |
20 | |
30 | |
40 | |
50 |
Bir perdeci 56 gün sonra teslim etmek üzere 28 adet perde siparişi almıştır. Perdeci bir süre tek başına çaIışmış 5 günde 2 perde yaptığını tespit etmiştir. Siparişi zamanında bitirebilmek için yanına bir yardımcı almış ve kalan perdelen birlikte 9 günde 5 perde yaparak bitirmişlerdir.
Buna göre usta tek başına kaç gün çalışmıştır?
12 | |
15 | |
18 | |
20 | |
28 |
Bir kütüphanede Tarih, Matematik ve Coğrafya kitaplarının her birinden yüzer adet kitap vardır. Kütüphaneye gelen öğrencilerin çalıştıkları kitaplarla ilgili aşağıdakiler bilinmektedir:
Kütüphaneye 100 öğrenci gelmiştir.
Tüm öğrenciler en az bir çeşit kitap almıştır.
Aynı kitap türünden birden fazla alan öğrenci bulunmamaktadır.
Yalnızca iki çeşit kitap alan öğrenci bulunmamaktadır.
Gün sonunda 32 Tarih, 45 Matematik ve 37 Coğrafya kitabına çalışılmadığı belirlenmiştir.
Buna göre, bu kütüphanede üç çeşit kitabı da çalışmak için alan kaç öğrenci vardır?
40 | |
41 | |
43 | |
44 | |
45 |
Bir mağazanın aldığı ürünlerin
'si defolu çıkmıştır.
Defolu ürünleri %20 zararla satan bu satıcı tüm satıştan %8 kâr elde edebilmesi için kalan ürünleri maliyete göre yüzde kaç kârla satmalıdır?
30 | |
28 | |
25 | |
24 | |
20 |
Bir firmada üretilen ürün sayıları üç gün boyunca incelenmiştir. Bu firma ikinci gün birinci güne göre %60 fazla, üçüncü gün ikinci güne göre %75 fazla ürün üretmiştir. İlk 2 gün üretilen ürün sayısı üçüncü gün üretilen ürün sayısının
katı olsaydı toplam 180 ürün daha fazla üretilecekti.
Buna göre, firmanın üç gün boyunca toplam ürettiği ürün sayısı kaçtır?
900 | |
960 | |
1020 | |
1080 | |
1100 |
Sinan ve Burak doğrusal bir pistin başlangıç noktasından, aynı yönde sırasıyla dakikada 160 ve 90 metre sabit hızlarla aynı anda yarışa başlıyor. Bir süre sonra Sinan yarışa 8 dakika ara verdikten sonra başlangıçtaki sabit hızıyla kaldığı yerden yarışa devam ediyor ve bitiş noktasına Burak’tan 2,5 dakika önce ulaşıyor.
Buna göre Burak, başlangıç noktasından bitiş noktasına kaç dakikada ulaşmıştır?
20 | |
24 | |
25 | |
26 | |
28 |
Gerçel sayılar kümesi üzerinde tanımlı bir f fonksiyonu için;
![]()
olduğuna göre (fof)(2) nin değeri kaçtır?
47 | |
49 | |
51 | |
53 | |
55 |
K ve L kümelerinin eleman sayılarıyla ilgili olarak;
s(K) = 3 . s(L)
s(K / L) = 2 . s(K ∩ L) + 15
eşitlikleri veriliyor.
Buna göre, L / K kümesinin eleman sayısı kaçtır?
3 | |
4 | |
5 | |
6 | |
7 |
Ağırlıkları 2, 3, 7, 9 ve 11 kilogram olan 5 farklı paketten rastgele ikisi, taşıma kapasitesi 13 kilogram olan bir torbaya konuluyor.
Buna göre, torbaya konulan paketlerin toplam ağırlıklarının torbanın taşıma kapasitesini aşmama olasılığı kaçtır?
![]()
52 - 54. soruları aşağıdaki bilgilere göre birbirinden bağımsız cevaplayınız.
Bir ailenin bir yılın ilk 4 ayında tüketilen doğal gaz ve su miktarı aşağıda grafikte gösterilmiştir.

Buna göre, şubatta tüketilen su miktarı ocakta tüketilen gaz miktarının yüzde kaçıdır?
48 | |
50 | |
52 | |
54 | |
56 |
52 - 54. soruları aşağıdaki bilgilere göre birbirinden bağımsız cevaplayınız.
Bir ailenin bir yılın ilk 4 ayında tüketilen doğal gaz ve su miktarı aşağıda grafikte gösterilmiştir.

Buna göre,
I. Nisan ayında tüketilen doğal gaz ve su miktarı toplamı 37 m3 tür.
II. Ocak ayında tüketilen doğal gaz ile su miktarlarının toplamı şubat ayındakine göre daha azdır.
III. Bu dört ayda tüketilen aylık doğal gaz miktarı tüketilen aylık ortalama su miktarından fazladır.
ifadelerinden hangileri doğrudur?
Yalnız I | |
Yalnız II | |
Yalnız III | |
I ve II | |
II ve III |
52 - 54. soruları aşağıdaki bilgilere göre birbirinden bağımsız cevaplayınız.
Bir ailenin bir yılın ilk 4 ayında tüketilen doğal gaz ve su miktarı aşağıda grafikte gösterilmiştir.

Bu dört ay boyunca tüketilen doğal gaz miktarının aylara göre dağılımı bir daire grafiği ile gösterildiğinde mart ayına karşılık gelen merkez açının ölçü*sü kaç derece olur?
60 | |
72 | |
75 | |
80 | |
90 |
55 — 57. soruları bilgilere göre birbirinden bağımsız cevaplayınız.
Bir markette büyük boy suların tanesi 1,5 TL küçük boy suların tanesi 1 TL, olmak üzere iki farklı su satılmaktadır. Ayrıca market promosyon amaçlı hazırladığı
2 büyük, 2 küçük sudan oluşan 4’lü paketi 4,5 TL’ye
5 büyük, 5 küçük sudan oluşan 10'lu paketi 12 TL'ye
5 büyük, 10 küçük sudan oluşan 15’li paketi 16 TL’ye satmaktadır.
Bu marketten 4'lük, 10'luk ve 15’Iik birer paket alan bir kişi, bu paketlerdeki suları teker teker alsaydı kaç TL daha fazla öderdi?
1 | |
1,5 | |
2 | |
2,5 | |
3 |
55 — 57. soruları bilgilere göre birbirinden bağımsız cevaplayınız.
Bir markette büyük boy suların tanesi 1,5 TL küçük boy suların tanesi 1 TL, olmak üzere iki farklı su satılmaktadır. Ayrıca market promosyon amaçlı hazırladığı
2 büyük, 2 küçük sudan oluşan 4’lü paketi 4,5 TL’ye
5 büyük, 5 küçük sudan oluşan 10'lu paketi 12 TL'ye
5 büyük, 10 küçük sudan oluşan 15’li paketi 16 TL’ye satmaktadır.
Bu marketten 10 büyük ve 10 küçük su alan birinin ödediği ücret TL cinsinden aşağıdakilerden hangisi olamaz?
22 | |
23,5 | |
24 | |
24,5 | |
25 |
55 — 57. soruları bilgilere göre birbirinden bağımsız cevaplayınız.
Bir markette büyük boy suların tanesi 1,5 TL küçük boy suların tanesi 1 TL, olmak üzere iki farklı su satılmaktadır. Ayrıca market promosyon amaçlı hazırladığı
2 büyük, 2 küçük sudan oluşan 4’lü paketi 4,5 TL’ye
5 büyük, 5 küçük sudan oluşan 10'lu paketi 12 TL'ye
5 büyük, 10 küçük sudan oluşan 15’li paketi 16 TL’ye satmaktadır.
Bu markette 13 büyük su, 18 küçük su alan biri en az kaç TL öder?
33,5 | |
34 | |
34,5 | |
35 | |
35,5 |

ABC dik üçgen
ABE eşkenar üçgen
AB ⊥ BC
ED ⊥ AC
|AE| = 4 √3 birim
|BD| = x
Dikliği bozmadan ED çizgisi biraz sağa alınacak çözümde de şekilde, D ve E noktaları ABC üçgeninin kenarları üzerindedir.
Buna göre, x kaç birimdir?
2 | |
3 | |
4 | |
5 | |
6 |

ABCD bir kare
3|AE| = |EB|
|KA| = 5 birim
|DK| = 11 birim
Şekilde E ve K noktalan ABCD kenarları üzerindedir.
Buna göre, ECK üçgenin alanı kaç birim karedir?
52 | |
54 | |
56 | |
60 | |
62 |

D noktası [AC] çaplı O merkezli çember üzerinde ve AB doğrusu çembere A noktasında teğettir.
Buna göre, x kaç derecedir?
58 | |
56 | |
54 | |
52 | |
50 |