A, B ve C sıfırdan ve birbirinden farklı rakamlar. ABC, ACB, BAC ve BCA üç basamaklı sayılardır. Bu sayıların ikisi 5 ile diğer ikisi 4 ile tam bölünüyor.
Buna göre, A-B-C çarpımı kaçtır?
18 | |
20 | |
36 | |
48 | |
60 |
x, y ve z pozitif tam sayılar
x . y + z ifadesi tek sayı
x + y . z ifadesi çift sayıdır.
Buna göre,
I. x çift sayıdır.
II. y tek sayıdır.
III. z tek sayıdır.
ifadelerinden hangileri daima doğrudur?
Yalnız I | |
Yalnız II | |
Yalnız I | |
I ve III | |
I, II ve III |

Buna göre, a + b + c toplamının en büyük değeri kaçtır?
22 | |
62 | |
121 | |
128 | |
136 |
a, b, c ve d birbirinden farklı doğal sayılar
alabileceği en küçük değer kaçtır?
64 | |
128 | |
256 | |
343 | |
2187 |

Şekil 1 de 8 eş parçaya ayrılmış pizza verilmiştir. Şekil 2 de aynı pizzanın bir kısmı yenildikten sonra kalan kısmı resmedilmiştir.
Buna göre, pizzanın yenen kısmının ağırlığının ilk ağırlığına oranı aşağıdakilerden hangisi olabilir?

![]()
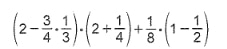
işleminin sonucu kaçtır?
1 | |
2 | |
4 | |
6 | |
8 |

işleminin sonucu kaçtır?
1200,12 | |
120,12 | |
1212 | |
12,12 | |
1,212 |
Bir x sayısının sayı doğrusunda 7’ye olan uzaklığı 5 birimden küçük ve 13’e olan uzaklığı 6 birimden küçüktür.
Buna göre, x’in alacağı tamsayı değerleri toplamı kaçtır?
36 | |
38 | |
40 | |
42 | |
44 |
x ve y birer reel sayı
-2 < x <10
3 < y < 7
olmak üzere x² - y 'nin en küçük tam sayı değeri kaçtır?
O | |
-27 | |
4 | |
-5 | |
18 |
Birinci adımda 3 sayısının küpünü alan Emre bu Sadım sonunda 3³ sayısını elde ediyor. Emre bundan sonraki her adımda elde ettiği sayının küpünü alarak yeni bir sayı elde ediyor.
Buna göre, Emre kaçıncı adımda 27⁵⁴ sayısınıelde eder?
4 | |
5 | |
7 | |
9 | |
10 |

işleminin sonucu kaçtır?

![]()
Yukarıdaki sayı doğrusuna yerleştirilen A, B ve C sayıları aşağıdakilerden hangisinde doğru verilmiş olabilir?


olduğuna göre, x² - 4y² farkı kaçtır?
-8 | |
-6 | |
-4 | |
-3 | |
-2 |
45. - 46. sorulan aşağıdaki parçaya göre cevaplayınız.
İçinde basamak sayıları aynı olan iki doğal sayı sayının yazılı olduğu
sembolünün değeri bu sayıların aynı basamakta bulunan rakamların çarpımının toplamlarına eşittir.
Ör:
= 1-5 + 2 -7 = 5 + 14= 19
Buna göre, a, b, c, d farklı rakamlar
en büyük değeri kaçtır?
108 | |
110 | |
111 | |
114 | |
116 |
45. - 46. sorulan aşağıdaki parçaya göre cevaplayınız.
İçinde basamak sayıları aynı olan iki doğal sayı sayının yazılı olduğu
sembolünün değeri bu sayıların aynı basamakta bulunan rakamların çarpımının toplamlarına eşittir.
Ör:
= 1-5 + 2 -7 = 5 + 14= 19
A, B ve C farklı rakamlar
= 42 eşitliğini sağlayan üç basamaklı kaç tane ABC doğal sayısı vardır?
8 | |
10 | |
16 | |
18 | |
20 |
A ve B birer küme
s(A) = 8 ve s(B) = 7
A kümesinin bazı elemanlarıyla “otomatik” ve “tematik” kelimeleri; B kümesinin bazı elemanlarıyla “müzik” ve “fizik” kelimeleri yazılabilmektedir.
Buna göre, A ∩ B kümesinin elemanlarıyla aşağıdaki kelimlerden hangisi yazılamaz?
kim | |
kem | |
mika | |
kare | |
küme |
Bir ailede babanın yaşının annenin yaşına oranı ilk çocukları doğduğunda
ikinci çocukları doğduğunda
dir.
Bu iki çocuğun yaşları farkı 9 olduğuna göre, ilk çocuk doğduğunda annenin yaşı kaçtır?
24 | |
27 | |
30 | |
33 | |
36 |
20 kilogram muzu kilogram fiyati a,9 TL yerine 9,a TL den satıldığında elde edilen toplam gelir 90 TL daha fazla oluyor.
Buna göre, a kaçtır?
3 | |
4 | |
5 | |
7 | |
8 |
Bir okulda bulunan son sınıf öğrencileriyle 5 seviye sınıfı yapılmış ve her sınıfta eşit sayıda öğrenci konulmuştur. Bu okuldaki en iyi 3 sınıftaki tüm öğrenciler üniversiteyi kazanmıştır. Bu okuldaki en iyi 4 sınıftaki öğrencilerin %95’i ve tüm öğrencilerin %85’i üniversite sınavını kazanmıştır.
Buna göre, durumu en zayıf sınıftaki öğrencilerin yüzde kaçtı sınavı kazanmıştır?
45 | |
50 | |
55 | |
60 | |
65 |
Aşağıdaki tabloda A, B, C ve D marka ayakkabıların internet satış fiyatı verilmiştir.

500 TL’den fazla siparişlerde kargo ücretsizdir. Selin üç tane ayakkabı siparişi vermiş ve kargo ücreti ödememiştir. Ayrıca Selin bu üç ayakkabı için 800 TL’den az ödeme yapmıştır.
Buna göre, D marka ayakkabının fiyat aralığıaşağıdakilerden hangisidir?
(170, 580) | |
(170, 530) | |
(200, 580) | |
(200, 530) | |
(230, 470) |
Ahmet Bey damacanayla hazır su almak yerine özel aracıyla belli bir kilometre gidip suyun kaynağından damacanalarını dolduruyor. Bu sayede suya para vermemiş ancak yakıt parası vermiş oluyor. Ahmet Bey 6 damacana su doldurduğunda su masrafını %20 düşürdüğünü hesaplıyor.
Buna göre, Ahmet Bey 8 damacana su doldurduğunda su masrafı yüzde kaç azalır?
24 | |
35 | |
40 | |
50 | |
64 |

Yukarıdaki harf oyununda harfler birleştirilerek kelimeler üretilmektedir. Aynı harf tekrar kullanılmayacaktır.
Buna göre, bu oyunda bir sesli bir sessiz harf yada bir sessiz bir sesli harf olacak şekilde anlamlı ya da anlamsız 6 harfli kaç farklı kelime üretilebilir?
36 | |
64 | |
72 | |
86 | |
106 |
30 soruluk bir sınava giren Emre tüm soruları okuduktan sonra 3 soruyu yanlış yapmış 1 soruyuda boş bırakmıştır.
Buna göre, Emre’nin boş bıraktığı sorunun numarasının asal sayı olma olasılığı kaçtır?

55. - 57. sorulan aşağıdaki bilgilere göre cevaplayınız.
Matematik öğretmeni Ahmet Bey öğrencilerinden ; Ali Osman, Abdullah, Efe, Ertuğrul ve Emir ile şöyle bir oyun oynuyor.
Ör
Ali, Osman, Abdullah, Efe, Ertuğrul, Emir
23, 34, 5, 12, 17, 2
Ahmet Öğretmen = 2334512172 sayısını yazıyor.
Buna göre Ahmet Öğretmen tahtaya 252332252 sayısı yazdığında öğrencilerin yazmış olduğu sayıların toplamı kaç olur?
80 | |
84 | |
88 | |
89 | |
92 |
55. - 57. sorulan aşağıdaki bilgilere göre cevaplayınız.
Matematik öğretmeni Ahmet Bey öğrencilerinden ; Ali Osman, Abdullah, Efe, Ertuğrul ve Emir ile şöyle bir oyun oynuyor.
Ör
Ali, Osman, Abdullah, Efe, Ertuğrul, Emir
23, 34, 5, 12, 17, 2
Ahmet Öğretmen = 2334512172 sayısını yazıyor.
Buna göre Ahmet Öğretmenin tahtaya yazdığı sayı 12222253 AB2’dır.
A + B = 8 olduğuna göre A . B çarpımı kaçtır?
0 | |
7 | |
12 | |
15 | |
16 |
55. - 57. sorulan aşağıdaki bilgilere göre cevaplayınız.
Matematik öğretmeni Ahmet Bey öğrencilerinden ; Ali Osman, Abdullah, Efe, Ertuğrul ve Emir ile şöyle bir oyun oynuyor.
Ör
Ali, Osman, Abdullah, Efe, Ertuğrul, Emir
23, 34, 5, 12, 17, 2
Ahmet Öğretmen = 2334512172 sayısını yazıyor.
Buna göre Ahmet Öğretmenin yazabileceği en küçük sayı kaçtır?
101112131416 | |
123456 | |
23457 | |
102030111213 | |
10123456 |

ABC ile ECD üçgenleri eş üçgenlerdir.
Buna göre,
açısı kaç derecedir?
32 | |
33 | |
36 | |
40 | |
42 |

ABCDE... düzgün çokgenin ardışık kenarları CK- LMN düzgün beşgen ve AKCB ve CNED eşkenar dörtgenler.
Buna göre,
kaç derecedir?
136 | |
144 | |
150 | |
156 | |
164 |
Bir kenar uzunluğu 4 birim olan kare şeklindeki kartonlar dik koordinat düzlemine aşağıdaki şekillerdeki gibi yerleştirilmiştir.

Şekil 1 deki K ve L noktası x = 3 doğrusu üzerinde Şekil 2 deki K ve L noktası 2y + x = 9 doğrusu üzerinde olduğuna göre, Şekil 2 deki L noktasının koordinatı aşağıdakilerden hangisidir?
![]()