Ahmet’in 6 kalemi, hasan’ın 8 kalemi vardır.
Buna göre hasanın kalemlerinin ahmet’in kalemlerine oranı kaçtır?

Hasanın ağırlığının, hüseyinin ağırlığına oranı
dir. Hüseyin 63kg olduğuna göre hüseyin kaç kg dır?
25 | |
35 | |
40 | |
45 |
Misafirlerine limonata hazırlayan Aysel hanım 6 limon ile 54 bardak limonata yapıyor. Buna göre Aysel hanım 1 limon ile kaç bardak limonata yapar?
8 | |
9 | |
10 | |
11 |
Bir araç sabit hızla 4 saatte 280 km yol gitmektedir. Bu araç 1saatte kaç km yol gider?
40 | |
50 | |
60 | |
70 |
35 kg duttan 5 kg pekmez elde edilmektedir. 9 kg pekmez elde etmek için kaç kg dut kullanılmalıdır?
45 | |
54 | |
60 | |
72 |
‘Bir maddenin dünyadaki ağırlığı , aydaki ağırlığının 6 katı’ dır. Yiğitin dünyadaki ağırlığı 42kg olduğuna göre , aydaki ağırlığı kaç tır?
7 | |
8 | |
9 | |
10 |
Alinin boyunun , Ayşe’nin boyuna oranı
tür. Ali nin boyu 143 cm olduğuna göre, ali ile ayşenin boylarının farkı kaç cm dir?
11 | |
12 | |
13 | |
Bir kümesteki tavukların sayısının , horozların sayısına oranı
tür. Kümeste 12 tane horoz olduğuna göre, kümeste toplam kaç hayvan vardır?
24 | |
28 | |
32 | |
40 |
Aşağıdaki oran çiftlerinden hangisi bir orantı belirtir?

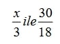
bir orantı oluşturduğuna göre x kaçtır?
3 | |
4 | |
5 | |
6 |
Bir a açısının tümlerine oranı
olduğuna göre büyük açı kaçtır?
10 | |
20 | |
40 | |
70 |
Bir mağaza 8 gömlek sattığında 240 lira para kazanmaktadır. Buna göre 15 gömlek satılırsa mağaza kaç TL kazanır?
450 | |
400 | |
350 | |
300 |

Her yıl aynı miktarda uzayan bir fidan 4 yılda 108cm uzamıştır. Buna göre 1 yılda kaç cm uzamaktadır?
18 | |
27 | |
45 | |
54 |

ve 2 a + 3 b + 4c = 290 olduğuna göre a + b + c toplamı kaçtır?
20 | |
30 | |
40 | |
90 |