7. Sınıf Matematik Oran Orantı (Test 1)

Süre:

360 kg ceviz üç markete sayıları ile ters orantılı olacak şekilde paylaştırılıyor.

Buna göre, marketlerin alacağı ceviz miktarları aşağıdakilerden hangisidir?


A
60 – 120 – 180
B
100 – 110 – 150
C
60 –80 – 220
D
100 – 100 – 160
a, b, c, d birer tam sayı olmak üzere, a ve b sayıları 2 ve 3 ile doğru orantılıdır. a.b = 24, b.c = 12

ve = 2 ise a+b+c+d’nin alacağı değer kaçtır?


A
7
B
10
C
13
D
16

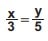
blankorantısında x sayısı aşağıdakilerden hangisidir?


A
24
B
28
C
32
D
36

blankorantısında a sayısının pozitif değeri aşağıdakilerden hangisidir?


A
4
B
6
C
8
D
10

blankorantısında x sayısı aşağıdakilerden hangisidir?


A
9
B
12
C
15
D
18

blankorantısında x sayısı aşağıdakilerden hangisidir?


A
6
B
8
C
10
D
12

a pozitif tam sayısı 3 ile doğru, 5 ile ters orantılı olacak biçimde iki pozitif tam sayıya ayrılıyor.

Bu sayıların farkının alabileceği en küçük değer kaçtır?


A
10
B
12
C
14
D
16

blankorantısı veriliyor.

Buna göre x + y kaçtır?


A
-26
B
-14
C
14
D
26

blankve x + y = 24 olduğuna göre x aşağıdakilerden hangisidir?


A
3
B
6
C
9
D
12

blankve B – A = 30 ise A sayısı aşağıdakilerden hangisidir?


A
12
B
14
C
16
D
18

blankve x + y + z = 60 olduğuna göre y sayısı aşağıdakilerden hangisidir?


A
5
B
10
C
15
D
20

blankve a + b + c = 66 olduğuna göre a sayısı aşağıdakilerden hangisidir?


A
11
B
22
C
33
D
44

a ve b sayıları doğru orantılıdır.

a = 10 iken b = 15 olduğuna göre, a = 18 iken b kaçtır?


A
18
B
21
C
24
D
27

x ve y sayıları ters orantılıdır.

x = 12 iken y = 15 olduğuna göre, y = 20 iken x kaçtır?


A
6
B
9
C
12
D
15

Aşağıdaki tabloda armutun miktarlarına karşılık gelen fiyatları verilmiştir.

Armut 1 kg 2 kg 3 kg 4 kg ...
Fiyat 4 TL 8 TL 12 TL 16 TL ...

Buna göre armutun miktarları ve fiyatları arasındaki ilişkiyi veren denklem aşağıdakilerden hangisi olabilir? (ağırlık = x, fiyat = y olsun)


A
y = x
B
y = 2x
C
y = 3x
D
y = 4x