Aşağıdakilerden hangisi 1.dereceden 1 bilinmeyenli denklemdir?
4x+y=20 | |
x²+6=42 | |
2x+10=50 | |
3x+8=xy |
x+5=20 denklemeinin çözümü hangisidir?
-15 | |
-5 | |
5 | |
15 |
2 x - 7 = 15 denkleminin çözümü hangisidir?
3 | |
5 | |
7 | |
11 |
3 x - 24 = x + 16 denkleminin çözümü hangisidir?
10 | |
20 | |
30 | |
40 |
24 - 2 x = 36 - 3 x denkleminin çözümü hangisidir?
8 | |
12 | |
16 | |
20 |
3. (x-2) - 2 (x-1) = 24 denkleminin kökü hangisidir?
14 | |
20 | |
28 | |
32 |
5 (x-1) = 4 (x+3) denkleminin kökü hangisidir?
12 | |
15 | |
17 | |
21 |
5 . (x-3) + 15 = 40 denkleminin kökü hangisidir?
8 | |
9 | |
10 | |
11 |
4 . (x-3) = a . (x+2) denklemi sağlayan x değeri -3 olduğuna göre a değeri kaçtır?
12 | |
24 | |
30 | |
36 |
2 ( x-1) - 6 = 3 ( x-3) + 4 denkleminin kökü hangisidir?
-5 | |
-3 | |
3 | |
5 |
x + (x - 1) - ( x - 2) = 2 x - 6
denkleminin çözümü hangisidir?
5 | |
7 | |
9 | |
11 |
x - [7 - (5 - 2 x)] = - 5 denkleminin kökü hangisidir?
3 | |
5 | |
7 | |
9 |
Aşağıdaki denklemlerin hangisinin çözümü yoktur?
3x-5=15 | |
2y-8=y-5 | |
3.(y-3)=3y-6 | |
8.(a-5)=24 |
denkleminin kökü hangisidir?
25 | |
30 | |
32 | |
36 |
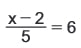
denkleminin kökü hangisidir?
10 | |
12 | |
16 | |
20 |

Yukarıda verilen modellemeye karşılık gelen işlem hangisidir?
3x+6=x-7 | |
3x+6=x-8 | |
3x-6=x+8 | |
3x+6=x-8 |
denkleminin çözümü hangisidir?
1 | |
3 | |
4 | |
5 |
Aşağıdaki verilen bilgilere göre

15 | |
18 | |
21 | |
24 |
2k + 4 = m + 8 ve m + 2 = 16 eşitlikleri veriliyor.
Denklemler çözüldüğü zaman k değeri kaç bulunur?
5 | |
7 | |
9 | |
11 |
x+y=12 , 2x + 4 = 20 olduğu biliniyor.
Buna göre y değeri kaç bulunur?
4 | |
6 | |
8 | |
10 |