Şekildeki terazi dengededir.

Burcu’nun elinde üzerinde -5, +6, -4, +3 tam sayıları yazan kartlar bulunmaktadır.
Burcu terazideki
yerine bu kartların üzerinde yazan sayılardan hangisini seçerse terazi dengede kalır ?
![]()
-5 | |
+6 | |
-4 | |
+3 |
Elinde 1 kg, 2 kg ve 3 kg’lık
cisimlerinden yeterli sayıda bulunan Burcu, bu cisimleri teraziye aşağıdaki şekilde yerleştirince terazinin dengede kaldığını görüyor.

Buna göre bu cisimlerin ağırlıklarının kaçar kg olduğu hangi seçenekte doğru verilmiştir?

2.(5x - 4) - 3(5x - 3) = x + 13 denkleminde x kaçtır?
-2 | |
-1 | |
1 | |
2 |

Yukarıdaki terazinin dengede olması için bilinmeyen ağırlık kaç kg olmalıdır?
7 | |
6 | |
5 | |
4 |
Mehmet öğretmen, öğrencilerine 25 sorudan oluşan yıl sonu genel değerlendirme sınavı yapmıştır. Öğrenciler doğru cevapladıkları her soru için 4 puan alırken yanlış cevapladıkları her soru için 2 puan kaybedeceklerdir. Bu sınavda tüm soruları cevaplayan Mehmet 58 puan almıştır.
Buna göre, Mehmet’in kaç tane soruyu yanlış cevapladığını (x) gösteren denklem aşağıdakilerden hangisidir?
100 – 4x + 2x = 58 | |
4(25 - x) – 2x = 58 | |
25 + 4x -2x = 58 | |
4x -2(25 - x) = 58 |

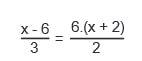
Aşağıdaki eşitliğe göre x yerine hangi sayı gelmelidir?
-3 | |
0 | |
3 | |
7 |

Yukarıda verilen dört ampulun yanabilmesi için gerekli anahtar altlarındaki denklemlerde gizlidir. Sadece denklemleri sağlayan x‘in negatif değeri için yanabilecektir.
Sonuçta hangisi ve ya hangileri yanacaktır?
Yalnız II | |
I ve III | |
Yalnız I | |
II ve IV |
Cevdet’in kitaplarının sayısının 3 katının 4 fazlası ile 5 eksiğinin toplamı 47 adettir.
Buna göre kütüphanesinde en az 100 adet kitap olmasını hedefleyen Cevdet, en az kaç kitaba daha sahip olmalıdır?
48 | |
72 | |
80 | |
88 |
x + 6x + 9x +.................+ 27x = 270 denkleminde bilinmeyen kaça eşittir?
0 | |
2 | |
6 | |
9 |

Tabloda bir otobüs firmasına ait ücret tarifesi verilmiştir. 6 kişiden oluşan Balcı ailesi anne, baba, çocukları 4 yaşındaki Ceren, 8 yaşındaki İlhan, 11 yaşındaki Yeşim ve 15 yaşındaki Merve’den oluşmaktadır.
Balcı ailesi Ankara’dan Antalya’ya giderek otobüs ücreti olarak toplam 528 TL ödemiştir.
Buna göre Merve için ödenen ücret kaç TL’dir?
84 | |
96 | |
120 | |
144 |