2021 LGS
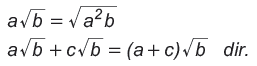
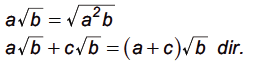
a, b birer doğal sayı olmak üzere

Yukarıda, çapı KL doğru parçası olan daire şeklinde bir karton ve eş bölmelere ayrılmış 10 santimetrelik bir cetvel verilmiştir. KL doğru parçası, K noktası 2’ye karşılık gelecek şekilde cetvelin kenarı ile çakıştırıldığında L noktası 6 ile 7 arasında, 7’ye daha yakın bir noktaya karşılık gelmektedir.
Buna göre KL doğru parçasının uzunluğu, santimetre cinsinden aşağıdakilerden hangisi olabilir?
2√5 | |
2√6 | |
3√3 | |
4√3 |
2021 LGS
Dikdörtgen şeklindeki bir kâğıt aşağıdaki gibi kısa kenarlarına paralel olarak kesildiğinde dikdörtgen şeklinde iki parça elde edilmiştir.

Elde edilen bu parçalar kısa kenarlarına paralel olarak tekrar kesildiğinde aşağıdaki gibi birbirine eş ikişer kare oluşmuştur. Bu karelerden her birinin bir kenar uzunluğu santimetre cinsinden birer doğal sayıdır.

Buna göre başlangıçtaki kâğıdın bir yüzünün alanı santimetrekare cinsinden aşağıdakilerden hangisi olamaz?
40 | |
90 | |
160 | |
240 |
2021 LGS
a, b, c birer doğal sayı olmak üzere


Dikdörtgen şeklindeki bir kâğıt, yukarıdaki gibi kesilerek dikdörtgen şeklinde dört eş parça elde edilmiştir. Bu parçaların kısa kenarları ile uzun kenarları çakıştırılarak aşağıdaki gibi iki farklı şekil oluşturulmuştur.

Şekil I’in yüksekliği 19√2 cm ve Şekil II’nin çevresinin uzunluğu 28√3 cm’dir.
Buna göre başlangıçta verilen dikdörtgen şeklindeki kâğıdın bir yüzünün alanı kaç santimetrekaredir?
288 | |
144 | |
96 | |
72 |
2021 LGS
a ≠ 0 ve m, n tam sayılar olmak üzere
![]()
Aşağıda, her bir hücresinde 2’nin birbirinden farklı tam sayı kuvvetlerinin yazılı olduğu iki sütunlu bir tablo verilmiştir. Tabloda bu üslü ifadelerden ikisi E ve F harfleriyle gösterilmiştir.

I. sütundaki üç üslü ifadenin çarpımı tam kare pozitif bir tam sayıya ve II. sütundaki üç üslü ifadenin çarpımı da tam kare pozitif bir tam sayıya eşittir.
Buna göre E + F en az kaçtır?
33 | |
17 | |
9 | |
3 |
2020 LGS
Dikdörtgen şeklindeki bir kâğıt, alanları santimetrekare cinsinden 10’dan büyük birer tam kare pozitif tam sayıya eşit olan karesel bölgelere aşağıdaki gibi ayrılmıştır.

Eşit alanlı bölgeler aynı harf ile gösterildiğine göre dikdörtgen şeklindeki bu kâğıdın bir yüzünün alanı en az kaç santimetrekaredir?
168 | |
255 | |
364 | |
392 |
2020 LGS
a, b birer doğal sayı olmak üzere
![]()
Bir bilye atma oyununa ait, kısa kenar uzunluğu 1 m olan dokuz eş dikdörtgensel bölgeden oluşan oyun parkuru aşağıda verilmiştir.

Başlangıç çizgisinden atış yapan bir oyuncunun attığı bilye, parkurda gösterilen mavi bölgede kalmıştır.
Buna göre bu bilyenin başlangıç çizgisine uzaklığı metre cinsinden aşağıdakilerden hangisi olamaz?
2√10 | |
3√5 | |
4√3 | |
2√13 |
2020 LGS
a, b, c birer doğal sayı olmak üzere

Bir şehrin demir yolu hatları üzerindeki istasyonlar aşağıdaki şekilde noktalar ile gösterilmiştir. Aynı hat üzerinde bulunan ardışık iki istasyon arasındaki mesafeler birbirine eşittir.

A, B, C istasyonlarından hareket eden K, L ve M trenleri ortak olan D istasyonundan sonra yeşil hattı kullanarak S istasyonuna ulaşıyorlar.
Bu trenlerin gittikleri yolların uzunluğuna göre doğru sıralanışı aşağıdakilerden hangisidir?
K > L > M | |
K > M > L | |
M > L > K | |
M > K > L |
2020 LGS
Aşağıda dört farklı renkteki kartların her birinden üçer adet verilmiştir. Aynı renkteki kartların üzerinde aynı kareköklü ifade yazmaktadır.

Eymen, bu kartlardan seçerek üstlerinde yazan kareköklü ifadeleri topladığında bir doğal sayı elde etmektedir.
Buna göre Eymen en fazla kaç kart seçmiştir?
8 | |
9 | |
10 | |
11 |
2020 LGS
Alanı 1050 cm2 olan kare şeklindeki bir panoya kenarlarından birinin uzunluğu 5’in tam sayı kuvveti, diğerinin uzunluğu 2’nin tam sayı kuvveti olan dikdörtgen şeklindeki bir afiş, pano yüzeyinden taşmayacak şekilde asılacaktır.
Buna göre afişin bir yüzünün alanı en fazla kaç santimetrekaredir?
1000 | |
800 | |
640 | |
400 |
2019 LGS
a, b birer gerçek sayı ve b ≠ 0 olmak üzere
![]()
Dikdörtgen şeklindeki bir kâğıt aşağıdaki gibi kesilerek kare ve dikdörtgen şeklinde iki kâğıt elde ediliyor. Elde edilen kare şeklindeki kâğıdın bir yüzünün alanı 27 cm2 olup dikdörtgen şeklindeki kâğıdın bir yüzünün alanının 3 katına eşittir.

Buna göre elde edilen dikdörtgen şeklindeki kâğıdın kısa kenarının uzunluğu kaç santimetredir?
9 | |
2√3 | |
3 | |
√3 |