8. Sınıf Matematik Doğrusal Denklemler (Test 1)

Süre:

Hangi sayının yarısının 10 fazlası aynı sayının 2 eksiğinin blank’üne eşittir.

Yukarıdaki problemin çözümü için kullanılacak denklem aşağıdakilerden hangisidir?


A
B
C
D

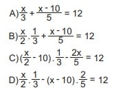
Hangi sayının yarısının blank’ü ile 10 eksiğinin blank’inin farkı 12’dir.

Yukarıda verilen problemin çözümünün denklemi aşağıdakilerden hangisi olabilir?

blank
A
B
C
D

Toplamları 20 olan iki sayıdan büyük olanının 2 katı ile küçük olanın 3 katının toplam 45 olduğuna göre büyük sayı kaçtır?

Yukarıdaki problemin çözümü için aşağıdaki denklemlerden hangisinin kullanılması uygun olur?

blank
A
B
C
D

Aslı’nın yaşı annesinin yaşının 5 fazlasının blank'üne eşittir. Aslı ile annesinin yaşlarının toplamı 60 olduğuna göre Aslı’nın annesi kaç yaşındadır?

Yukarıdaki problemin çözümünün denklemi aşağıdakilerden hangisi olabilir?

blank
A
B
C
D

Buğra bir medivenin basamaklarını 3’erli çıkıp 4’erli inmektedir. Buğra’nın bu merdivenleri çıkarken attığı adım sayısı inerken attığı adım sayısından 10 fazla ise bu merdiven kaç basamaklıdır?

Yukarıdaki problemin çözümünün denklemi aşağıdakilerden hangisidir?

blank
A
B
C
D

Bir su deposunun blanki doludur. Bu su deposuna 10 litre daha su eklenince deponun blankü dolmuş olduğuna göre bu depo kaç litreliktir?

Yukarıdaki problemin çözümü için aşağıdaki denklemlerden hangisi kullanılabilir?

blank
A
B
C
D

Pelin harçlığının önce blankünü daha sonra blankini harcadığında toplamda 26 TL harcamış oluyor.

Buna göre Melis’in harçlığı kaç TL’dir?


A
70
B
60
C
50
D
40

Sinan elindeki metematik soru bankasının blankini çözüyor. Daha sonra 35 soru daha çözünce toplamda soru bankasının blankünü bitirmiş oluyor.

Buna göre bu soru bankası kaç sorudan oluşturulmuştur?


A
120
B
110
C
100
D
90
blank

Şekildeki duvarın blank’ü boyandıktan sonra 60 m2’lik kısmı daha boyanınca boyanmamış kısım duvarın blanki kadar oluyor.

Buna göre bu duvar kaç m²'dir?


A
300
B
250
C
225
D
180

İki sayının birbirine oranı blanktir.

Bu sayılardan büyük olanı küçük olandan 30 fazla olduğuna göre büyük sayı kaçtır?


A
90
B
75
C
60
D
45

Bir sürücü gideceği yolun önce blankünü, daha sonra kalan yolun blanksini gidiyor. Bu sürücünün geriye 90 km daha yolu kaldığına göre bu yolun uzunluğu kaç km’dir?


A
225
B
180
C
150
D
135

İrem’den bir yaş küçük olan Sevgi için,

Sevgi’nin yaşının 2 katı ile İrem’in yaşının 3 katının toplamı 53 olduğuna göre Sevgi’nin yaşı kaçtır?


A
10
B
11
C
13
D
14

Bir sınıftaki öğrenciler sıralara 2’şerli otururlarsa 3 öğrenci ayakta kalıyor. 3’erli otururlarsa 3 sıra boş kalıyor.

Buna göre bu sınıfta kaç kişi vardır?


A
21
B
23
C
25
D
27