8. Sınıf Matematik Çarpanlar ve Katlar (Test 1)

Süre:
50 < K < L < 90

Yukarıda verilen sıralamada K ve L asal sayılar olduğuna göre L – K nın değeri en fazla kaçtır?


A
38
B
37
C
36
D
35

Yukarıdaki sayı doğrusu A, B, C, D olacak şekilde 4 aralığa bölünüyor.

Buna göre pozitif tam bölen sayısı 2 tane olan sayılar hangi iki aralıkta en azdır?


A
A ile C
B
B ile D
C
C ile D
D
A ile D

a, b, c, d, e rakamları ile ilgili aşağıdaki bilgiler veriliyor. a < b < c < d < e’dir. a ile b, b ile c, c ile d, d ile e aralarında asaldır.

Buna göre bu şartı sağlayan en büyük a, b, c, d, e rakamları için aşağıdakilerden hangisi aralarında asal değildir?


A
b ile d
B
c ile a
C
d ile e
D
a ile e

Yandaki terazinin sol kefesine konulan ağırlığın kendisi hariç pozitif bölenleri olan ağırlıklar sağ kefeye konuluyor.

Buna göre aşağıdaki ağırlıkların hangisi sol kefeye konulursa denge sağlanır?


A
15 kg
B
20 kg
C
28 kg
D
32 kg

İki basamaklı 3A ve B3 sayıları asal sayılar olduğuna göre, A < B şartını sağlayan kaç farkı A+B toplamı vardır?


A
5
B
6
C
7
D
8

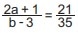
a ve b doğal sayı, 2a + 1 sayısı ile b – 3 sayısı aralarında asaldır.

blankolduğuna göre a.b kaçtır?


A
8
B
12
C
15
D
18

Mirza sırasıyla 1 den 100’e kadar olan sayıları eksiksiz yazıyor. Daha sonra şu işlemleri uyguluyor. Önce 100 den başlayarak bu sayının pozitif tam bölenlerini bulup üzerini karalıyor. Daha sonra aynı işlemi sıra atlamadan 99, 98, 97....., a sayısına kadar sürekli yaptığında bütün sayıların üzerini karaladığını görüyor.

Buna göre bu en son işlemi yaptığı a sayısı kaçtır?


A
43
B
51
C
61
D
67
blank

Yukarıda verilen A ve B kümelerinden seçilen sayılar oklar ile gösterilen bölümlere yazılıyor.

Buna göre bu bölümlere konulan sayılar aralarında asal olduğuna göre bu işlem kaç farklı yerleştirme ile gerçekleşir?


A
10
B
11
C
12
D
13

2’den başlamak şartı ile küçükten büyüğe doğru sıra atlamadan yazılan herhangi bir miktardaki asal sayıların çarpımına 1 eklenirse bulunan sonuca ôklid asal sayı denir.

Örneğin: 2 den 5’e kadar olan asal sayıların çarpımına 1 ekleyelim.

2 . 3 . 5 + 1 = 31

bulunan sonuç 31 öklid asalıdır.

Buna göre aşağıdaki sayılardan hangisi öklid asal sayısıdır?


A
187
B
209
C
211
D
241

Aşağıda verilen sayı çiftlerinden hangileri aralarında asaldır?


A
25-32
B
48-57
C
27-45
D
52-39
blank

6, 7, 8, 9 sayıları yandaki şekildeki üçgenlerin içine, yanyana gelen veya üst üste gelen herhangi iki sayı aralarında asal olacak şekilde yerleştiriliyor.

Buna göre kaç farklı yerleştirme işlemi yapılabilir?


A
4
B
5
C
6
D
7

x, y ve z doğal sayılar olmak üzere

540 = 2ˣ.3ʸ.5ᶻ'dir.

Buna göre x + y + z toplamı aşağıdakilerden hangisidir?


A
6
B
5
C
4
D
3
blank

A ve B sayılarının asal çarpanlar algoritması verilmiştir.

Buna göre A + B toplamı kaçtır?


A
140
B
130
C
120
D
110

İki basamaklı 4A ve B6 sayıları aralarında asaldır.

Buna göre 4A + B6 toplamının alacağı en büyük değer en küçük değerden ne kadar fazladır?


A
88
B
87
C
86
D
85