rasyonel sayısının ondalık gösterimi aşağıdakilerden hangisidir?
![]()
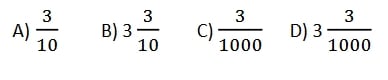
3,003 ondalık gösteriminin eşiti olan rasyonel sayı aşağıdakilerden hangisidir?

Ondalık gösterimi 0,45 olan rasyonel sayı aşağıdakilerden hangisidir?

rasyonel sayısına karşılık gelen ondalık gösterim aşağıdakilerden hangisidir?
0,35 | |
3,5 | |
0,035 | |
0,5 |

Yukarıda verilen ifadelerden kaç tanesi rasyonel sayıdır?
1 | |
2 | |
3 | |
4 |
![]()
Yukarıdaki sayı doğrusunda A ile gösterilen noktaya karşılık gelen rasyonel sayı aşağıdakilerden hangisidir?

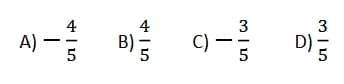
Aşağıdaki rasyonel sayılardan hangisinin değeri diğerlerinden farklıdır?

rasyonel sayılarının küçükten büyüğe doğru sıralanışı hangi şıkta doğru olarak verilmiştir?

Aşağıdakilerden hangisi
'nın farklı bir gösterimi değildir?

Aşağıdaki sayılardan hangisi, sayı doğrusunda
rasyonel sayısının sağında yer alır?


Yukarıdaki sayı doğrusunda, ardışık tam sayıların arası dörder eş parçaya bölünmüştür.
Buna göre aşağıdakilerden hangisinin sayı doğrusundaki yeri yanlış gösterilmiştir?

rasyonel sayılarının doğru sıralanışı aşağıdakilerden hangisinde doğru olarak verilmiştir?
