
Verilen rasyonel sayılar sayı doğrusunda gösterildiğinde hangisi diğerlerine göre en solda yer alır?
x | |
y | |
z | |
t |
Aşağıda verilen rasyonel sayılardan hangisi sayı doğrusunda diğerlerinden farklı ardışık tam sayılar arasındadır?

kesrinin ondalık gösteriminde kesir kısmı iki basamaklıdır ve onda birler basamağına gore yuvarlatılmış şekli 0,8’dir.
A+B ifadesinin sonucu 3 basamaklı bir sayı olduğuna göre A+B toplamının değeri en fazla kaçtır?
368 | |
552 | |
736 | |
920 |
![]()
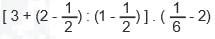
İşleminin sonucu aşağıdakilerden hangisidir?

Yöresel ürünlerle piknik yapmak isteyen Arda, Halil ve Buket sırasıyla
kilogram incir,
kilogram künar ve
kilogram narı evlerinden getiriyorlar. Piknikten haberdar olan arkadaşları Aşkın incirin
kilogramını, künarın
kilogramını ve narın
kilogramını yiyor.
Bu durumda geriye toplam kaç kg yiyecek kalmıştır?

Birbirine eş dikdörtgenler kullanılarak aşağıdaki gibi örüntü oluşturulmak isteniyor.

Her örüntünün değeri;
ile hesaplanmaktadır.
Örneğin Şekil-3’ün değeri
’dür.
Buna göre Şekil2 + Şekil7 – Şekil1 işleminin değeri kaçtır?

“Nazilli Basma Fabrikası” Açılışını 9 Ekim 1937 tarihinde Mustafa Kemal ATATÜRK’ ün yaptığı ilk Türk basma fabrikasıdır.
Bir elbisenin kumaşının eninin 2,5 metre, boyunun
metre olduğu bilindiğine göre, 72 metrekarelik bir top Nazilli Basması’ndan kaç adet elbise dikilebilir?



İşleminin sonucu kaçtır?
8 | |
7 | |
6 | |
5 |
![]()
İşleminin sonucu kaçtır?
-10 | |
-11 | |
-22 | |
-30 |