(-5a+12) + (7a-15)
İfadesi aşağıdakilerden hangisine eşittir ?
2a | |
2a-3 | |
12a+3 | |
12a+27 |
(-4x-7)+(-6x-11)
İfadesi aşağıdakilerden hangisine eşittir ?
-10x-18 | |
-10x -4 | |
2x-18 | |
-2x+4 |
(15b-25) – (8b+13)
İfadesi aşağıdakilerden hangisine eşittir ?
23b-12 | |
23b-38 | |
7b-38 | |
7b-38 |
(-4b-9) - (-3b+6)
İfadesi aşağıdakilerden hangisine eşittir?
7b-3 | |
7b-15 | |
b+3 | |
-b-15 |

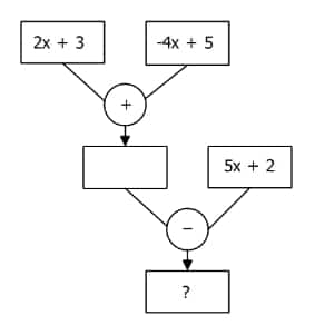
Yukarıda verilenlere göre ? yerine aşağıdakilerden hangisi gelmelidir ?
3x+10 | |
3x-6 | |
-7x+6 | |
-7x+10 |

Yukarıda verilen beşgenin çevresi aşağıdakilerden hangisidir ?
8x -18 | |
8x+9 | |
8x-9 | |
8x |
(7x-5) ifadesinin (-6x-7) ifadesinden farkı kaçtır?
-x+2 | |
x-13 | |
13x+2 | |
13x-2 |

Yukarıda modellenen toplama işleminin sonucu aşağıdakilerden hangisidir?
6x+5 | |
6x-1 | |
x-5 | |
x+1 |


Yukarıda modellenen işlem aşağıdakilerden hangisidir ?
4x+4) - (3x+3) = x-1 | |
(4x-4) – (3x-3) = x-1 | |
(4x+3) – ( 3x+2) = 2x+1 | |
(4x+4) – ( 2x+3) = 2x-1 |
Bilgi: Çıkarma işleminde , eksilen sayıyı bulmak için, çıkan ile fark toplanır.
Eksilen = Çıkan +fark tır.

Yukarıda bir çıkarma işlemi modellenmiştir.
Buna göre eksilen cebirsel ifade aşağıdakilerden hangisidir?
3x+2 | |
2x+3 | |
5x+1 | |
x-1 |


Yukarıda verilen şekillerin çevrelerinin toplamı aşağıdakilerden hangisidir?
6a+2 | |
6a+12 | |
12a+14 | |
12a+12 |