





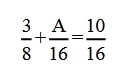
Olduğuna göre A kaçtır?
3 | |
4 | |
5 | |
6 |



Yukarıda bir sayı doğrusu üzerinde 0 ile 1 arası eşit aralıklara bölünerek bir toplama işlemi modellenmiştir. Buna göre modellenen işlem aşağıdakilerden hangisidir?





Yukarıdaki sayı doğrusunda doğal sayıların arası eş arlıklara bölünmüştür. Buna göre sayı doğrusunda modellenen toplama işleminin sonucu kaçtır?



