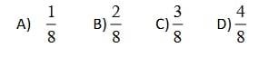
Zeynep bir pizzanın
yemiştir. Buna göre geriye pizzanın kaçta kaçı kalmıştır?

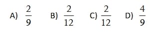
Aylin ödevlerinin önce
sını yapmıştır. Buna göre ödevlerinin kaçta kaçını yapmıştır?

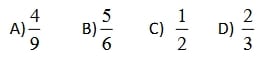
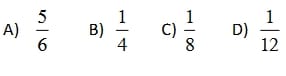
Ayhan bir kitabın 1.gün
sını , 2.gün
sini okumuştur. Buna göre geriye kitabın kaçta kaçı kalmıştır?

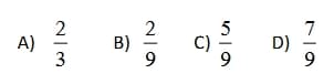
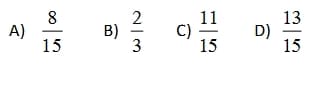
Nermin kitabının 1.gün
sini , 2.gün
sını, 3.gün
ünü okumuştur. Buna göre nermin 3 günde kitabın kaçta kaçını okumuştur ?

Bir araç gideceği yolun önce
sini , sonra
ini gidiyor. Buna göre yolun kaçta kaçını gitmiştir ?

Mehmet ödevlerinin önce
sini , sonra
sını yapmıştır. Buna göre ödevlerinin kaçta kaçı kalmıştır?

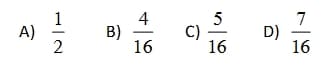
Bir ayakkabı ustası siparişlerin 1.gün
'ini 2.gün
sını, 3.gün
ini yapmıştır. Buna göre geriye siparişlerin kaçta kaçı kalmıştır?

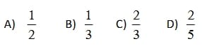
Mehmet gideceği yolun önce
sonra
ünü gitmiştir. Geriye yolun kaçta kaçı kalmıştır?

Bir manav elindeki elmaların öğleye kadar
sini öğleden sonra
sini satıyor. Geriye elmaların kaçta kaçı kalmıştır?

Bir bisikletli gideceği yolun
sini gittikten sonra bir kısmını daha giderse yolun yarısını gitmiş oluyor. Aracın sonradan gittiği yol tamamının kaçta kaçıdır?

Alış verişe çıkan ayşe hanım parasının
ini markette,
ünü kasapta harcamıştır. Buna göre paranın kaçta kaçını harcamıştır?

Toplamları
olan iki kesirden biri
ise diğeri kaçtır?

1 hafta 5 gün kaç ay aydır? ( 1 ay 30 gündür)

Her gün yürüyüş yapan iki arkadaştan Burçe
km, Aylin ise
km yürümüştür.
Buna göre burçe aylinden kaç km fazla yürümüştür?

Bir çiftlik sahibi günlük yumurtalarını satmaktadır. Yumurtaların
i taşıma esnasında kırılmış ,
ü ise satılmıştır. Geriye 60 tane yumurta kalmıştır.
Buna göre başlangıçta kaç yumurta vardır?
240 | |
280 | |
320 | |
480 |
Aybüke kitabının 1.gün
ini, 2. Gün
ini, 3.gün ise 36 sayfa okuyarak kitabı bitirmiştir.
Buna göre kitap kaç sayfadır?
72 | |
108 | |
120 | |
144 |